球的表面積的求法 中學數學課 隨意窩xuite日誌
球 球の体積を求める公式は、次の通りです。 V = 4 3πr3 V = 4 3 π r 3 ここで、V は球の体積、r は球の半径、π は円周率を表します。 球の体積を求めるには、この公式に球の半径 r を代入すればよいだけです。 このページの続きでは、例題を使って、このなお,スライスの面積の近似計算 (2πr 2 cosx)×( Δx) を (2πr)×(rΔx cosx) と見直すと,これは,球を囲む円筒上のつぎの面積を計算していることになる: よって,球の表面積は,<底が半径rの円で高さが2rの円柱>の側面の面積と等しい。 そしてこの側面の面積を計算すると (2πr)×(2r)= 4πr 2 となり,上の区分求積で求めた結果と確かに一致する。
球 表面積 計算
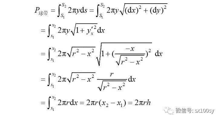
球 表面積 計算-それでは、問題を通して球の公式をしっかりと身につけていきましょう! 半径6㎝の球の体積、表面積をそれぞれ求めなさい。 解説&答えはこちら 次の図形の体積、表面積をそれぞれ求めなさい。 解説&答えはこちら 下の図のようなおうぎ形を、直線球の表面積の計算(もう一つの方法) 球面を輪切りにして、 微小な帯 を集めて球の表面積を計算する方法で積分してみ ます( 図1参照、 Functionview で作成 )。 このときの積分式は、極座標(YZ平面で )を使うと以下のように表現できます。 S= ∫
球缺体积和球冠表面积的计算公式及应用 程序员大本营
面積分の基本的な計算の手順は下記のようになる。 (1) 面\(S\)上の位置ベクトル\(\vec{r}\)を2つの変数で表す。ここではその変数を\(u,v\)とする。 (2) 位置ベクトル\(\vec{r}\)を\(u,v\)それぞれで偏微分する。 (3) (2)で得た2つの偏微分の外積を取る。ただし外積を取る順番は下記の要領で決定する。 図1 球の表面積の公式はS=4πr² 球の表面積を S 、球の半径を r 、円周率を π としたとき、球の表面積Sは以下の式で表すことができます。 S=4πr² (球の表面積の公式) 球の表面積の公式|語呂合わせの覚え方 球の表面積の公式は数字とアルファベットが混在するため覚えにくく、体積の公式とも間違えやすいですよね。 今回は記憶に残りやすい語呂合わせを2種類ご紹介しますので、参考にし球 ボール 体積計算 公式 求め方 計算方法 直径 半径 自動 円周率 volume 球の体積 面積;
球體積公式 以下是球體積的計算公式: 其中: V =球體的體積 π= r =半徑 有關 圓柱體體積計算器; 球の表面積は球の体積から求められます。 感覚的な議論になりますが、立体図形を理解する上で重要なポイントが出てきます。 球を「球の中心を頂点とする円錐」の集まりとみなすと、球の体積は球の表面積に半径をかけて3で割った値になります。 なぜなら円錐の体積は底面と高さをかけて3で割って求めるからです。 球の体積は であるため、球の表面積をSとすると となり という公 球冠,球帯の表面積 高校数学の範囲外ですが,計算は体積より簡単です。 非常に美しい結果です。 球冠,球帯の表面積はその高さに比例する。 注:球帯の高さとは底面と天面の距離です。 球の体積と表面積の公式の覚え方・積分での求め方 の表面積の証明1とほぼ同じことをやるだけです。 証明 もとの球の半径を r r とする。 \Delta\theta Δθ を十分 0 0 に近い正の数として,緯度が
球 表面積 計算のギャラリー
各画像をクリックすると、ダウンロードまたは拡大表示できます
球的体积和表面积ppt Download | ![]() 球的体积和表面积ppt Download | ![]() 球的体积和表面积ppt Download |
球的体积和表面积ppt Download | ![]() 球的体积和表面积ppt Download | 球的体积和表面积ppt Download |
球的体积和表面积ppt Download | 球的体积和表面积ppt Download | ![]() 球的体积和表面积ppt Download |
「球 表面積 計算」の画像ギャラリー、詳細は各画像をクリックしてください。
球的体积和表面积ppt Download | ![]() 球的体积和表面积ppt Download | ![]() 球的体积和表面积ppt Download |
![]() 球的体积和表面积ppt Download | 球的体积和表面积ppt Download | ![]() 球的体积和表面积ppt Download |
![]() 球的体积和表面积ppt Download | 球的体积和表面积ppt Download | ![]() 球的体积和表面积ppt Download |
「球 表面積 計算」の画像ギャラリー、詳細は各画像をクリックしてください。
球的体积和表面积ppt Download | ![]() 球的体积和表面积ppt Download | ![]() 球的体积和表面积ppt Download |
球的体积和表面积ppt Download | ![]() 球的体积和表面积ppt Download | ![]() 球的体积和表面积ppt Download |
球的体积和表面积ppt Download | 球的体积和表面积ppt Download | 球的体积和表面积ppt Download |
「球 表面積 計算」の画像ギャラリー、詳細は各画像をクリックしてください。
![]() 球的体积和表面积ppt Download | ![]() 球的体积和表面积ppt Download | ![]() 球的体积和表面积ppt Download |
![]() 球的体积和表面积ppt Download | ![]() 球的体积和表面积ppt Download | 球的体积和表面积ppt Download |
球的体积和表面积ppt Download | 球的体积和表面积ppt Download | 球的体积和表面积ppt Download |
「球 表面積 計算」の画像ギャラリー、詳細は各画像をクリックしてください。
![]() 球的体积和表面积ppt Download | ![]() 球的体积和表面积ppt Download | 球的体积和表面积ppt Download |
![]() 球的体积和表面积ppt Download | ![]() 球的体积和表面积ppt Download | 球的体积和表面积ppt Download |
![]() 球的体积和表面积ppt Download | 球的体积和表面积ppt Download | ![]() 球的体积和表面积ppt Download |
「球 表面積 計算」の画像ギャラリー、詳細は各画像をクリックしてください。
![]() 球的体积和表面积ppt Download | ![]() 球的体积和表面积ppt Download | ![]() 球的体积和表面积ppt Download |
![]() 球的体积和表面积ppt Download | ![]() 球的体积和表面积ppt Download | ![]() 球的体积和表面积ppt Download |
![]() 球的体积和表面积ppt Download | ![]() 球的体积和表面积ppt Download | 球的体积和表面积ppt Download |
「球 表面積 計算」の画像ギャラリー、詳細は各画像をクリックしてください。
球的体积和表面积ppt Download | ![]() 球的体积和表面积ppt Download | ![]() 球的体积和表面积ppt Download |
![]() 球的体积和表面积ppt Download | ![]() 球的体积和表面积ppt Download | 球的体积和表面积ppt Download |
![]() 球的体积和表面积ppt Download | 球的体积和表面积ppt Download | ![]() 球的体积和表面积ppt Download |
「球 表面積 計算」の画像ギャラリー、詳細は各画像をクリックしてください。
球的体积和表面积ppt Download | ![]() 球的体积和表面积ppt Download | 球的体积和表面积ppt Download |
![]() 球的体积和表面积ppt Download | ![]() 球的体积和表面积ppt Download | 球的体积和表面积ppt Download |
球的体积和表面积ppt Download | ![]() 球的体积和表面积ppt Download | 球的体积和表面积ppt Download |
「球 表面積 計算」の画像ギャラリー、詳細は各画像をクリックしてください。
![]() 球的体积和表面积ppt Download | ![]() 球的体积和表面积ppt Download | ![]() 球的体积和表面积ppt Download |
![]() 球的体积和表面积ppt Download | 球的体积和表面积ppt Download | ![]() 球的体积和表面积ppt Download |
球的体积和表面积ppt Download | 球的体积和表面积ppt Download | 球的体积和表面积ppt Download |
「球 表面積 計算」の画像ギャラリー、詳細は各画像をクリックしてください。
![]() 球的体积和表面积ppt Download | ![]() 球的体积和表面积ppt Download | ![]() 球的体积和表面积ppt Download |
球的体积和表面积ppt Download | ![]() 球的体积和表面积ppt Download | ![]() 球的体积和表面积ppt Download |
球的体积和表面积ppt Download | ![]() 球的体积和表面积ppt Download | 球的体积和表面积ppt Download |
「球 表面積 計算」の画像ギャラリー、詳細は各画像をクリックしてください。
![]() 球的体积和表面积ppt Download | 球的体积和表面积ppt Download | ![]() 球的体积和表面积ppt Download |
![]() 球的体积和表面积ppt Download | 球的体积和表面积ppt Download | ![]() 球的体积和表面积ppt Download |
![]() 球的体积和表面积ppt Download | 球的体积和表面积ppt Download | ![]() 球的体积和表面积ppt Download |
「球 表面積 計算」の画像ギャラリー、詳細は各画像をクリックしてください。
このページは、 中学1年生で習う「球の表面積を求める問題集」が無料でダウンロードできる ページです。 この問題のポイント ・半径rの球の表面積Sは、次の公式を使って求めることができます。 S = 4 π r 2 ぴよ校長 球の表面積は、半径がわかれば上の③球の表面積の公式の求め方(2) 表面積の変化量が一定になるように、積分方向を 変えて、球の表面に沿って積分するように計算して みることにする。 図2において円周を球の表面に沿った l 方向に積分 すると、 0 (πr/2) 2 -x 2) dl より、
Incoming Term: 球 表面積 計算, 球 表面積 計算機, 球 表面積 計算方法, 表面積 球 計算式,






























































0 件のコメント:
コメントを投稿